@WangYixu
2018-06-22T07:35:05.000000Z
字数 2231
阅读 996
OI 笔记 算法 字符串
AC自动机 = Trie + KMP
注意:之后的讲解中刻意混淆了“指针”与“指针指向的元素”
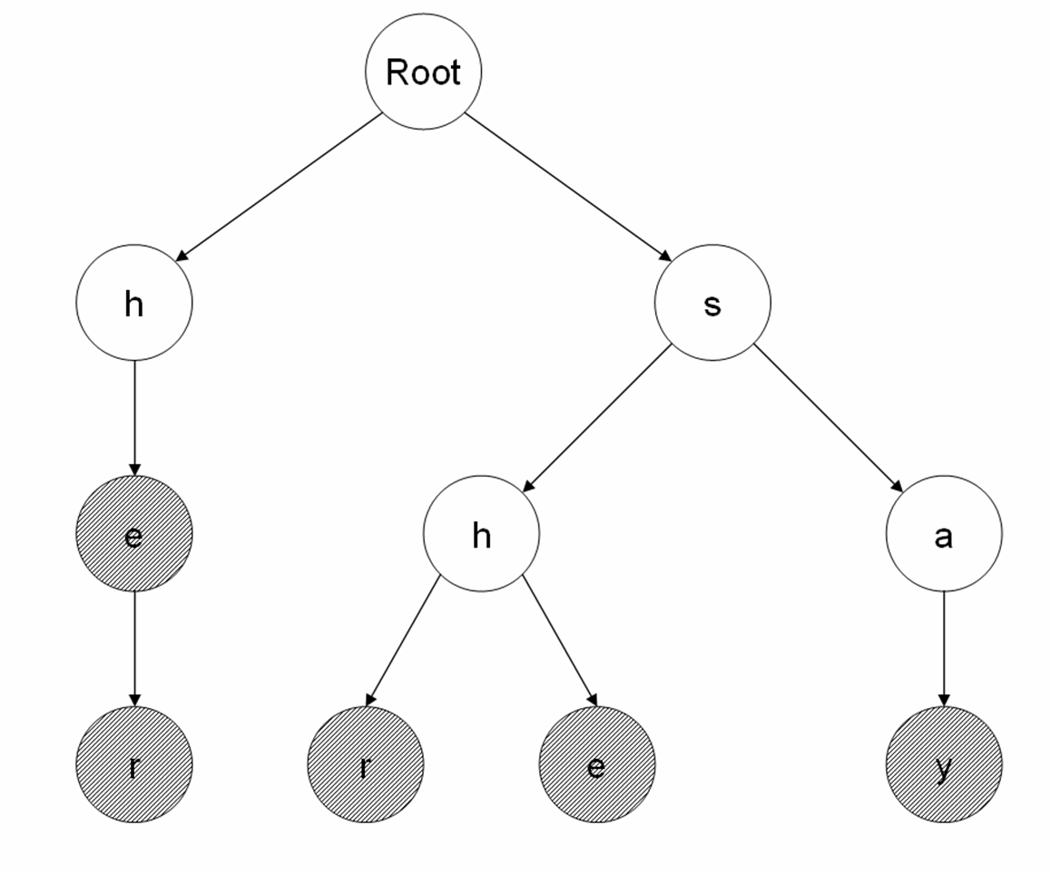
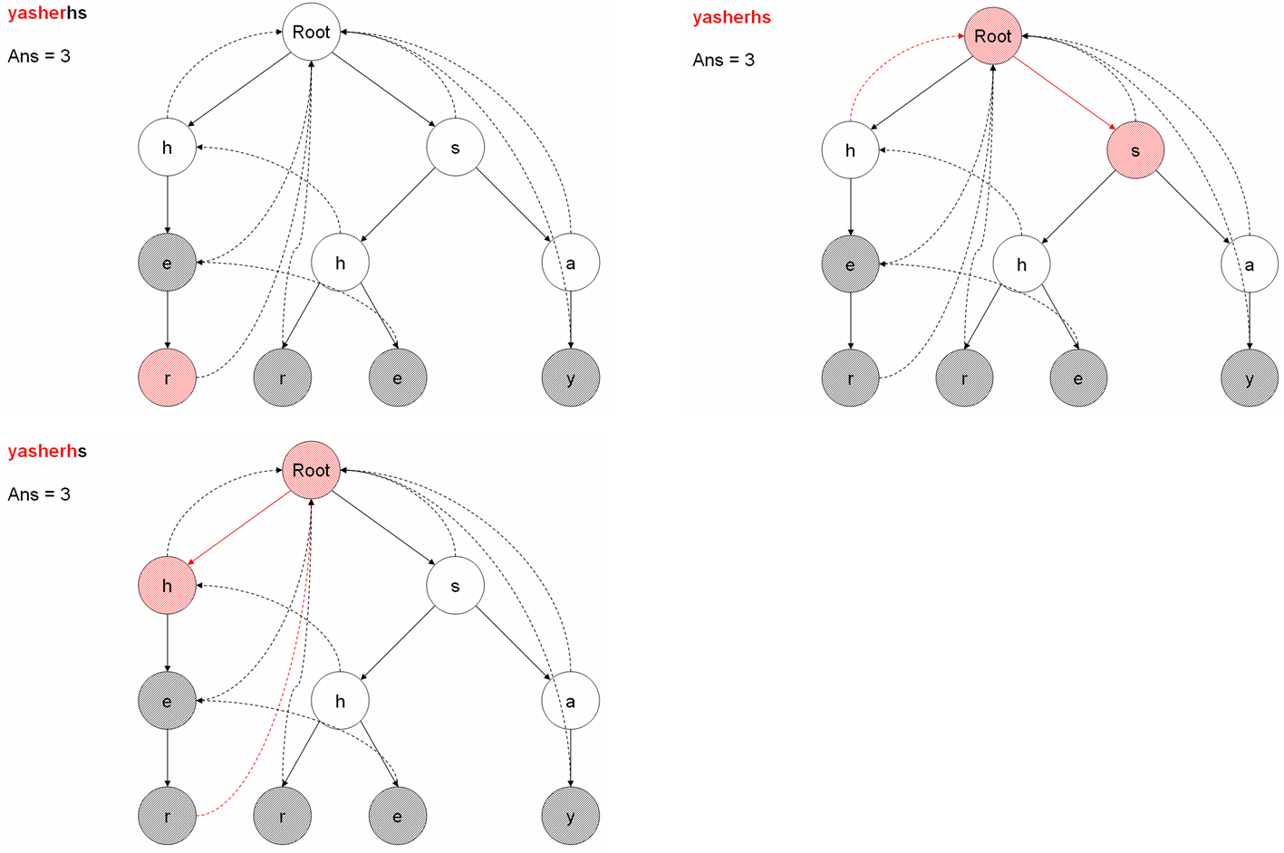
这里,以一组数据为例:
模板串:
shehesayshrher
文本串
yasherhs
本文将以图片+代码的形式呈现,如有不理解之处,手动模拟尝试即可。
int Trie_[MAXN_][26]; // Trie树int Fail_[MAXN_]; // 失配指针int Cnt_[MAXN_]; // 以该节点为单词结尾的单词数int tot_;int q_[MAXN_ + 10], qhd_, qtl_;

void add(char *S_) { // 添加模板串int pos_ = 0; // 记录当前节点位置,从根开始int len_ = strlen(S_); // 插入的串的长度for (Rint i = 0; i < len_; ++i) { // 逐字符检查if (!Trie_[ pos_ ][ S_[i] - 'a' ]) // 如果没有这个位置Trie_[pos_][ S_[i] - 'a'] = ++tot_; // 申请这个位置pos_ = Trie_[pos_][ S_[i] - 'a']; // 向下走}Cnt_[pos_]++; // 记录出现次数}

void build() { // 构建失配指针(Fail[])// 广度优先遍历qhd_ = qtl_ = 0;Fail_[0] = 0;// 首先处理模板串起点的失配指针(=0)for (Rint i = 0; i < 26; ++i) {if (Trie_[0][i]) { // 如果有该节点Fail_[ Trie_[0][i] ] = 0;q_[qtl_++ % QLEN_] = Trie_[0][i]; // 入队}}int tmp_;while (qhd_ != qtl_) {tmp_ = q_[qhd_++ % QLEN_];for (int i = 0; i < 26; ++i) { // 遍历子节点if (Trie_[tmp_][i]) { // 该子节点存在Fail_[ Trie_[tmp_][i] ] = Trie_[ Fail_[tmp_] ][i];// 失配指针为 当前节点的失配指针 的子节点q_[qtl_++ % QLEN_] = Trie_[tmp_][i];} else { // 该子节点不存在// 直接连接到失配指针的子节点// 现在,trie树成了trie图Trie_[tmp_][i] = Trie_[ Fail_[tmp_] ][i];}}}}
这里还有一个小优化:将trie树变成trie图,减少失配指针跳跃次数。
极其类似KMP
(这里图示有误,will fix soon)


// 统计文本串中出现了多少种模板串int query(char* S_) {int ans_ = 0, now_ = 0;int len_ = strlen(S_);for (Rint i = 0; i < len_; ++i) {now_ = Trie_[now_][S_[i] - 'a'];for (register unsigned int t = now_; t && ~Cnt_[t]; t = Fail_[t]) {ans_ += Cnt_[t];Cnt_[t] = -1;}}return ans_;}
这个题堪称经典AC自动机例题,做完后对AC自动机的了解又上了一个层次。
考虑文本串匹配的过程,如果一直无法匹配到单词终点,那么,AC自动机上一定有环,参考下图理解环的意义。

该图中,蓝色边为原始trie树,黑色边为fail指针,红色边为trie图改进,这里为了使图没有那么乱,没有为末尾节点建立trie图,图中的环已经被加粗。
要注意的是,一个点的失配指针如果是一个单词末尾,那么这个点也是单词末尾,对应程序中的:
val[ trie[tmp][i] ] |= val[ trie[fail[tmp]][i] ];
code:
#define Rint register intint trie[M][2], fail[M], val[M], tot;char s[M];int n;int q[M], qhd, qtl;int flag, vis[M], ins[M];inline void add(char *s);inline void build() {for (Rint i = 0; i <= 1; ++i) {if (trie[0][i]) {fail[ trie[0][i] ] = 0;q[qtl++] = trie[0][i];}}int tmp;while (qhd != qtl) {tmp = q[qhd++];for (Rint i = 0; i <= 1; ++i) {if (trie[tmp][i]) {fail[ trie[tmp][i] ] = trie[ fail[tmp] ][i];val[ trie[tmp][i] ] |= val[ trie[fail[tmp]][i] ];q[qtl++] = trie[tmp][i];} else {trie[tmp][i] = trie[ fail[tmp] ][i];}}}}void dfs(int f) {if (flag) return;ins[f] = 1;vis[f] = 1;for (int i = 0; i <= 1; ++i) {if (trie[f][i] && !val[ trie[f][i] ]) {if (ins[ trie[f][i] ]) {flag = 1;break;}if (!vis[ trie[f][i] ]) dfs(trie[f][i]);}}ins[f] = 0;}int main() {// read and builddfs(0);if (flag) printf("TAK\n");else printf("NIE\n");return 0;}