@Jayfeather
2018-05-09T12:50:32.000000Z
字数 6239
阅读 2416
课程
分析化学的定义
分析化学是以发展并运用各种方法、仪器及策略,并在时间和空间的维度里获得有关物质组成及其性质的信息的一门科学。
化学分析 VS 分析化学
化学分析特别指针对日常样品进行的日常分析。
分析化学改进现有的方法、拓展现有的方法于新的样品,以及发展新的方法去测量新的化学现象。
化学分析法的优缺点
优点 —– 具有严格的定量理论基础,属绝对定量分析方法。
缺点 —– 通常只适用于单组分常量分析,操作步骤较多。
仪器分析法的优缺点
优点 —– 高灵敏度、高精密度、高信息量、多组分同时定量分析、操作简便等。
缺点 —– 非绝对定量分析方法,需要待测物的标准品建立校正曲线才能实现定量分析。
滴定分析法的条件
1 滴定反应必须有确定的化学计量关系。
2 滴定反应有较快的反应速度。
3 必须有合适的方法确定化学计量点。
物质的量浓度
物质的量浓度是以物质的基本单元为基准构建的一种浓度表达方式,这个基本单元可以是实际的物质组成形式,也可以是人为定义的物质组成形式。
质量平衡例题
定量分析 时,先将其灼烧生成,然后通过与 反应生成 。生成的 用 NaOH 滴定,消耗浓度为 0.02500mol/L 的 NaOH 溶液 34.85 mL,反应式如下:

- 基准物质
满足如下条件的物质,可以作为基准物质,直接用于标准溶液的配制。
1 基准物质的组成与化学式完全相符。如果该物质含有结晶水,其结晶水的含量应与化学式相符;
2 基准物质的主成分的含量应在 99.9% 以上;
3 基准物质应有很好的稳定性,不易与空气中的物质发生化学反应,也不易吸附空气中的物质;
4 基准物质的摩尔质量要大。
常用的基准物质
1 纯金属 — Ag,Cu,Zn,Cd,Si,Ge,Al,Co,Ni,Fe 等。
2 化合物 — NaCl,K2Cr2O7,Na2CO3,As2O3,
CaCO3,邻苯二甲酸氢钾,硼砂等。
直接配制法
间接配制法
例题

所需样品最小质量








段落引用
- 质子条件式(需要练习)
- 酸碱反应的实质是物质间质子转移;
- 在酸碱反应达到平衡时,酸碱溶液体系中各种物质型体之间存在着一个确定的定量关系,称为质子条件
建立酸碱溶液体系中的质子条件通常有两种方法:
1. 由酸碱溶液中的物料平衡和电荷平衡列出质子条件;
2. 由酸碱溶液中的得失质子关系列出质子条件。(高中内容)(放在这仅仅是告诉你有质子条件式这个东西)


- 强碱滴定多元酸
( 要求:会推导公式 计算应该不作要求…… )
- 酸碱指示剂的作用原理
酸碱指示剂是包含有双键结构和苯环结构的有机弱酸或有机弱碱,通常显现出一定的颜色。
当酸碱溶液中的氢离子结合到酸碱指示剂上时,指示剂的结构发生改变,从而导致其颜色的改变。
一般定义指示剂的变色范围为:
---
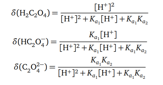
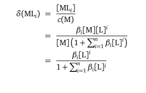
-分布分数
(虽然真的懒得记这个东西……但是玩意可能要考)
溶液中各级配合物存在的比例可以用分布分数来描述。






配位滴定指示剂的选取原则
配合物 MIn 的颜色应与该指示剂In的颜色有显著的区别;
MIn 的稳定性应略小于MY配合物的稳定性指示剂与金属离子的反应必须迅速,并有良好的变色可逆性。
金属离子指示剂应较稳定,便于贮存和使用。
-常用的配位滴定方式
直接滴定法
直接滴定法一般包括如下四个步骤:
1 将试样处理成溶液;
2 调节溶液的酸度至合适值;
3 加入其它必要的试剂(如辅助配位剂)和指示剂;
4 用 EDTA 标准溶液滴定待测的金属离子。
采用直接滴定法时,必须满足以下的条件:
反应能定量进行,且 lg c(M)K′(MY) ≥ 6;
配位反应速度要快;
应有合适的指示剂,且不会发生封闭现象;在滴定条件下,被测离子不发生水解和沉淀反应。
返滴定法
返滴定法是在试液中先加入一定量的过量的
EDTA 标准溶液,过量的 EDTA 再用另一种金
属离子的标准溶液回滴。根据两种标准溶液的
浓度和用量,即可求得待测组分的含量。
返滴定法主要用于下列情形:
1 直接滴定时没有合适的指示剂,或待测离子对指示剂有封闭作用;
2 待测离子与 EDTA 的配位反应速度很慢;
3 待测离子在滴定条件下发生水解或沉淀反应,且没有合适的辅助配位剂。
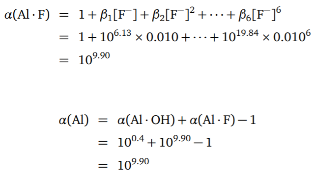
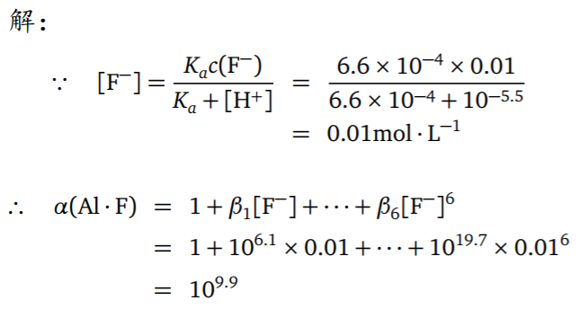
例如,Al3+ 是一个典型的不能采用直接滴定法
的金属离子,原因如下:
Al3+ 对二甲酚橙等指示剂有封闭作用;
Al3+ 与 EDTA 配位反应速度在常温下很慢;
Al3+ 易水解生成一系列多核氢氧基配合物,导致 Al3+ 与 EDTA 反应缓慢,且配位比不稳定。
所以,滴定 Al3+ 时应采用返滴定法。首先,在Al3+溶液中加入一定量的过量的 EDTA 标准溶液,控制酸度在 pH ≈ 3.5,且煮沸溶液。在酸度较大的情况下,Al3+ 不易形成多核氢氧基配合物,在加热和 EDTA 过量的情况下,Al3+ 与EDTA 反应完全。
置换滴定法
置换滴定法是通过置换反应,置换出另一种金
属离子,或者置换出EDTA,然后再进行滴定的一种配位滴定法。
置换滴定法常用于金属离子与EDTA形成的配合物不太稳定的场合,此时反应进行的程度不完全,无法直接定量。
间接滴定法
有些金属离子和非金属离子不与 EDTA 反应,
或者生成的配合物很不稳定,此时可以采用间
接的方式利用配位滴定法来测定。






重量分析法对沉淀的要求
对沉淀形式的要求
沉淀的溶解度要小,其溶解损失应不超过天平的称量误差;
沉淀应易于过滤和洗涤;
沉淀应有较高的纯度;
沉淀应易于转变为称量形式。
无定形沉淀的条件
常用的沉淀剂
常用的沉淀剂有无机沉淀剂和有机沉淀剂两类。有机沉淀剂与无机沉淀剂相比较,具有如下的优点:
剩下的自己看~
--- 祝考试顺利 ---