@574718927
2017-11-05T01:19:22.000000Z
字数 697
阅读 195
The Lorenz system is a system of ordinary differential equations first studied by Edward Lorenz. It is notable for having chaotic solutions for certain parameter values and initial conditions. In particular, the Lorenz attractor is a set of chaotic solutions of the Lorenz system which, when plotted, resemble a butterfly or figure eight.
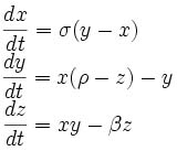
美国气象学家洛伦兹在研究天气系统时,得到了如下的方程组,这是混沌理论的经典,其形式为:

我们取 和
利用欧拉法,分别在下对Z 随时间绘图
得到:
当时,图形都会最终归于平静,只是时间略有不同,当,Z最终会出现混沌效应。
这里直接考虑一个三维空间中的图形,在 时,可以得到:
此时出现奇异吸引子,也就是Lorenz吸引子。这一图案颇似蝴蝶展翅,所谓混沌理论的“蝴蝶效应”之得名据说也与此吸引子的形状有关。
利用PS堆栈合成gif
分别考虑了的情况,得到如下的图形:

在改变r大小后,得到下图:
可以看出,在 时,系统有着很好的周期性,但是随着r增大,系统的非周期性增强,混沌更加明显。