@574718927
2017-12-01T12:48:40.000000Z
字数 1590
阅读 120
In celestial mechanics, an orbital resonance occurs when orbiting bodies exert a regular, periodic gravitational influence on each other, usually because their orbital periods are related by a ratio of small integers. Most commonly this relationship is found for a pair of objects. The physics principle behind orbital resonance is similar in concept to pushing a child on a swing, where the orbit and the swing both have a natural frequency, and the other body doing the "pushing" will act in periodic repetition to have a cumulative effect on the motion. Orbital resonances greatly enhance the mutual gravitational influence of the bodies, i.e. their ability to alter or constrain each other's orbits. In most cases, this results in an unstable interaction, in which the bodies exchange momentum and shift orbits until the resonance no longer exists. Under some circumstances, a resonant system can be stable and self-correcting, so that the bodies remain in resonance. Examples are the 1:2:4 resonance of Jupiter's moons Ganymede, Europa and Io, and the 2:3 resonance between Pluto and Neptune. Unstable resonances with Saturn's inner moons give rise to gaps in the rings of Saturn. The special case of 1:1 resonance between bodies with similar orbital radii causes large Solar System bodies to eject most other bodies sharing their orbits; this is part of the much more extensive process of clearing the neighbourhood, an effect that is used in the current definition of a planet. (From wikipedia)
对于地、木、太阳三体体系,首先考虑三者质量为实际数值的情况:
对地球轨道放大有:
可以看出太阳几乎没有扰动,而地球和木星有微小的轨道振动
当木星质量为实际质量10倍时:
地球轨道有明显的振动,太阳也明显出现了木星引力产生的椭圆轨道。
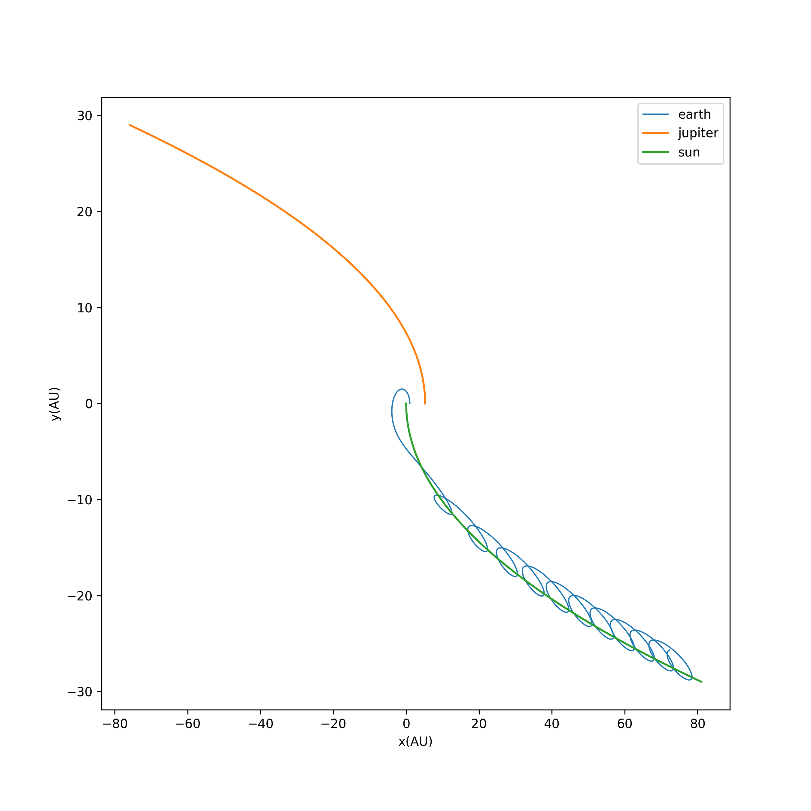
当木星质量为实际质量100倍时:
此时三者的轨道都完全不同
当木星质量为实际质量的1000倍时(也就是与太阳质量相同):
这时假设的情况是,太阳初始速度为0,可见太阳与木星相互缠绕,就像双子星。而地球在某一时刻被“甩”出双星体系。
但是,当考虑太阳与木星有一个相反的初速度时:
可见引力无法束缚两者