[关闭]
@Anying 2016-06-20T12:51:07.000000Z 字数 1134 阅读 693

计算物理第7次作业
->2013301020156 安莹

背景

本次作业编写程序解决棒球运动问题。棒球运动的特点是:球速高,球轨迹变化多。棒球在空中飞行时,其空气拖拽系数将严重依赖于速度,并且棒球旋转将使其受到额外的Magnus力,因而棒球的轨迹可以变得十分复杂。
本次作业主要解决课本2.19习题

棒球的飞行是典型的抛体运动,但是棒球在飞行过程中除受到重力作用外,还会受到空气阻力和因棒球旋转产生的Magnus力,一般来讲,棒球飞行轨迹由下述方程给出

其中m是棒球质量,是重力加速度,是速度方向的单位矢量,w即棒球旋转角速度,即空气阻力项,即为Magnus力.在棒球速度范围内尚可认为基本是一常量,而则显著依赖于棒球的速度,按照教科书上所给近似,可将其写为

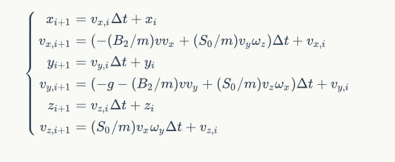
结合初始条件即可解得棒球飞行轨迹,但却难以给出解析解。利用欧拉法求其近似解,可给出其相应的差分方程为

只要知道棒球前一时刻的状态,就可通过上述方程给出下一时刻的状态,从而反复迭代最终获得棒球的整个运动轨迹,误差量级为.

棒球运动的研究

1.空气阻力对棒球运动的影响
为研究空气阻力对棒球运动的影响,我们只需分别计算有、无阻力时棒球运动的情况即可。一般来说无阻力的棒球应该能飞得更远,下面的计算验证了这一点。我们取棒球初速度为110mph,发射角,Magnus力的系数则取为
为确定步长dt的合理取值,我们分别用不同的步长计算了抛物结果,当步长逐渐减小时,结果逐渐收敛到一稳定结果,可以发现步长取0.10,0.005,和0.001时棒球轨迹不再明显变化,因此后面的计算中均取0.10。从图中可以发现:空气阻力大大减少了棒球的射程,有空气阻力时棒球轨迹明显低于无空气阻力的情况,另外,棒球的旋转对于其射程也有不小的影响。

code

picture

2.棒球在3d空间的运动
下面我们在三维空间中研究棒球的运动,

code

picture

结论

本次作业讨论了棒球的运动问题,讨论了棒球所受空气阻力和Magnus力对棒球运动的影响。其中前者的影响极为显著,将很大地减少棒球的射程,明显地改变棒球的轨迹,而后者也有不小的影响,如果棒球旋转适当,可以朝不同的方向发生偏移,因而给棒球运动带来很大的不确定性和娱乐性。

添加新批注
在作者公开此批注前,只有你和作者可见。
回复批注