[关闭]
@Anying 2016-06-21T03:16:49.000000Z 字数 938 阅读 691

计算物理第九次作业
->2013301020156 安莹

摘要

考虑非线性有耗散以及受到驱动力的摆所出现的混沌现象。

背景

混沌现象是指发生在确定性系统中的貌似随机的不规则运动,一个确定性理论描述的系统,其行为却表现为不确定性一不可重复、不可预测,这就是混沌现象。
在之前的作业中讨论的是小角度情形下有阻尼力和驱动力的摆,而在大角度的情况下对之前的情况就得换一种计算方式。
在大角度的情况下不能直接用等价,所以此时单摆的运动方程变为:
上式可以写为:


运用Euler-Cromer近似就可以得到:



将t的取值范围限定在内。

正文

code

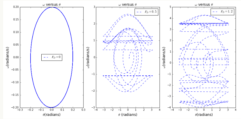
通过python画出不同F_D值时的图像:



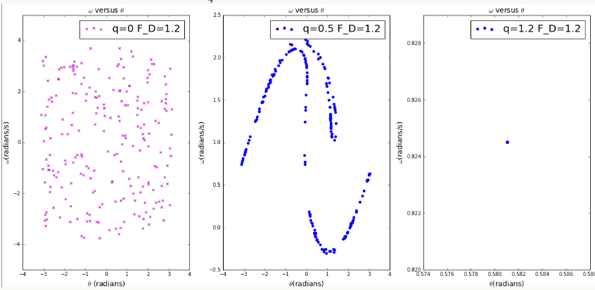
再选出的点,图像为:

再选出不同相的点,时,图像为:

结论

在非线性驱动力下可以产生混沌现象

致谢

感谢刘星辰同学的代码

添加新批注
在作者公开此批注前,只有你和作者可见。
回复批注