@David88
2016-06-17T11:46:14.000000Z
字数 1981
阅读 663
1 when not considering air resistance, the numerical solution of two order linear differential equations:
You can put it into four first-order ordinary differential equations:
vx and vy are the speed of the horizontal and vertical components of vector. Using the Euler method, each equation written for small changes in the limited form, to calculate the position and speed's change of every dt.Given the initial position and velocity, then calculate the later movement. When the dt is small enough, calculated by Euler numerical results close to the real (analytical) solutions.
No resistance code
It can be seen from the chart: 45 degree angle is the maximum emission without resistance angle; and the sum of 90 of the same range.
2 when considering air resistance:
For differential expression:

The resistance code
We can see:45 degrees for the maximum emission angle too, but "the sum of 90 of the same range "is not established.
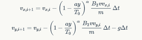
3 consider the adiabatic model:
The relationship between air density with altitude change become:
The differential equation of the modified into:
Adiabatic model code
4 The maximum emission angle under adiabatic condition:
The adiabatic model maximum emission angle code
We can see that the maximum emission angle may no longer be 45 degrees, with variation of parameters change.
See the above situation analysis.This assignment allows us to learn how to solve high-order differential equation via transferring it into first-order diferential equations. Also, air density at differential altitude plays an important role in the trejectory of cannon shell.
Zhilin Wang.