@David88
2016-06-20T14:46:11.000000Z
字数 1158
阅读 653
Euler Cramer method, binary problem, eccentricity
In seventeenth Century Kepler's three laws of planetary motion, then Newton also successfully used the law of gravitation explains Kepler's law of planetary motion to promote the development of physics. We start with the simplest system, a sun, a star, and explore some of the properties of the solar system model.
According to Newton's law of gravity, the gravitational pull of the sun for the planet by:
In the formula, respectively M radius of the sun and the earth, the distance between them is r.
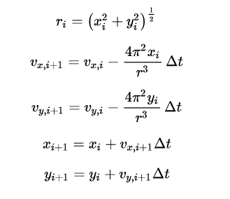
Newton's second law:F=Ma You can calculate the velocity and acceleration of the expression. The Euler Cramer method, the speed and position of the steps we use to calculate the following steps:
1 planets in the solar system orbits:
Link Code 1

2 is not the gravitational inverse square:
If the star is not between the gravitational inverse square, i.e.
Link Code 2
As we can see, not the inverse square relationship, planetary precession generally occur. When the 5 party inverse, the system is no longer stable.
The discussion of binary system, movement in different conditions.
Student Xiao Guo and Student Shixin Wang.