@David88
2016-06-19T16:53:34.000000Z
字数 2206
阅读 702
This article call a model for a nonlinear, damped, driven pendulum. And shows the particular properties that not exists in simple pendulum——chaos. we also changed a small amount of initial conditions, and found a exponential change afterwards.Key words including nonlinear, damped, pendulum, chaos, phase space and so on。
Chaos phenomenon is a seemingly random irregular movement which occurs in the deterministic system, and the system is described by a deterministic theory. Its behavior is a non deterministic one. It is an inherent characteristic of nonlinear dynamical systems, and it is a common phenomenon in nonlinear systems. And in the physical pendulum case, if we increase the driven force, for example, we will see the chaos, that is, seemingly random oscillation.
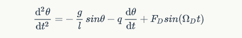
he ordinary differencial equition of a physical pendulem with driven and dissipation force is:
is the dissipation parameter,
are the amplitude and angular frequency of the driven force, respectively.
The word chaotic means that even though you change the initial condition tinily, the difference of the terminal point might be as that between Jesus and Satan. But this does not mean it is unpredictable, on the contrary, since we have the ODE and the initial condition, we can find every step the pendulum will go on numerically, in other words, we can find the trajectory of the pendulum in the phase space merely with a negligible error, as long as we can choose the time interval between every step enough small.
Eular-Cromer method is performed as following:

keep θ(i+1) in the range of [-π,π]
we choose F(D)=0,0.5,1.2 ,calculate the picture,as follows:
there is no chaotic behaviour in phase space when F(D)=0,0.5
but when F(D)=1.2 chaos appears.
Also we can see the relation of ω-θ ,and draw the pictures:
it's normal.
it's not normal,because chaos appears.
When I selected some special point such that
,
where n is any arbitrary integer, I saw the attractor.
The code is here:link chaos code
The chaotic system is seemed to be disordered but if we select a point every period of the driven force, we can see the attractor, while this feature is appeared only in some spacial cases. If I change the amplitude of the driven force, the attractor disappears.