@David88
2016-06-20T13:51:09.000000Z
字数 1293
阅读 741
The Lorenz model, Stokes equation, Fluid mechanics, Euler method, chaos, Weather phenomenon.
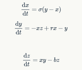
This work discusses the Lorenz model in the study of weather phenomena. The basic equations of E.N.Lorenz in fluid mechanics, Navier-Stokes equation, applied to the specific problem, which is simplified into three equations:

The X, y, Z or Navier-Stokes in the equation of temperature, density, velocity and R; reflect the driving effect brought by temperature difference, B reaction fluid damping.
By the Euler method available:

The motion of the fluid in the Lprenz model significantly depends on the driver R, when the hour change drive R, can be observed the emergence of chaos and disappear.
take The initial value of x=1, y=z=0, Z,and σ=10,b=8/3, draw the curve of velocity with time at different values of r:
Link code 1
You can see in the value of R is small, Z damping phenomenon, but when the R value appeared complex chaos phenomenon increases to a certain value.
When we will continue to increase the R value to 160 and 163.8:
Link Code 2
We can make the phase space graph.
We take the initial value of x=1, r=25, y=z=0
Link Code Lorenz3
Can also make section of phase space:
Link code 4

The Lorenz model with the increase of R, accompanied by the generation of chaos phenomenon and disappear.
Student Yangyao Chen and Student Shixin Wang.