@David88
2016-06-17T13:01:31.000000Z
字数 1981
阅读 679
Chapter 2 problem 2.19: The spin of baseball and Visual motion of baseball
This article discusses the trajectory of a batted baseball, considering topspin, no spin and backspin. Also, some other factors are considered, such as drag coefficient of various balls, the batting angle, the effect of wind and so on.
As we all known, due to the spin, there will be a pressure difference at the edge of the ball, which called Magnus force. In the case of backspin, this force will offer a upward force, causing a longer flying distance than the no-spin situation. This increase the probability to get a home run.

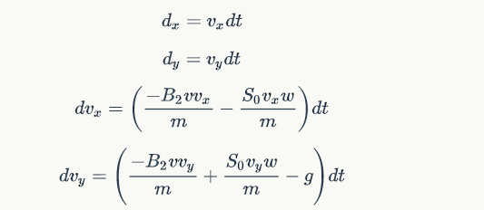
Consider the backspin two directions is not considered, so the establishment of two-dimensional coordinate system xy.
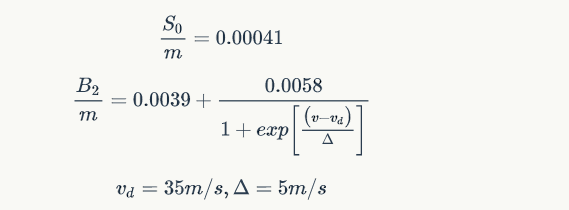
and the parameters
Define a new class--ball, its property is the motion state of the ball, including position, velocity, angular velocity calculation under moment condition, just continue to use this method, and a record of each state can be obtained by trajectory.
class ball:
def init(self,v,theta):
self.x=0.0
self.y=1.5
self.vx=v*math.cos(math.pi*theta/180)
self.vy=v*math.sin(math.pi*theta/180)
self.w=2000*2*math.pi/60
def fly(self):
self.x=self.x+self.vx*dt
self.y=self.y+self.vy*dt
self.vx=self.vx+(-B2m(abs(self.vx-vwind))*(self.vx-vwind)math.sqrt((self.vx-vwind)(self.vx-vwind)+self.vy+self.vy)-S0m*self.vy*self.w)*dt
self.vy=self.vy+(-B2m(abs(self.vy))*self.vy*math.sqrt((self.vx-vwind)(self.vx-vwind)+self.vy+self.vy)+S0m(self.vx-vwind)*self.w-g)*dt
The next statement is the cycle performance of the fly method, a record of each position, can use plot mapping.
S0m = 4.1e-4 #backspin
Vwind = Four point four seven zero four #10mph, tailwind
A = Ball ( Fifty , Thirty-five )
X1 =[]
Y1 =[]
X1 . Append ( A . X )
Y1 . Append ( A . Y )
While A . Y > Zero :
A . Fly ()
X1 . Append ( A . X )
Y1 . Append ( A . Y )
X1 . One (]= X1 . Two - Y1 . Two ]* X1 . One / Y1 . One ] / () One - Y1 . Two / Y1 . One ])
Y1 . One ]= Zero
It can be seen from the diagram: without considering spin,downwind will be higer and taller than agianst the wind. Considering the spin backspin, the condition will be reversaled.
Thanks for the careful guidance from friend Zhilin Wang.