@David88
2016-06-24T05:48:08.000000Z
字数 706
阅读 480
Jacobi, capacitor, potential field
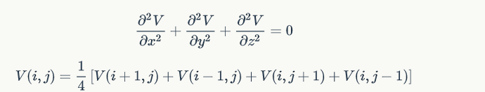
Just like in the differential equation of the time gap, we do finite difference time and space position. In fact, the particle equation by the finite difference method is derived. Here, we use two-dimensional finite difference form as follows:

The subject requirements for:
The following code: Link code
design sketch:

The potential field can be obtained by only calculating X-Y plane of the first quadrant: at each step to update the V operation, the second quadrant of the mirror symmetry value, and then use the three or four quadrant value of rotational symmetry.
Student Wentao Liu and student Zhiling Wang.