[关闭]
@amaoaaaa 2017-11-10T17:27:58.000000Z 字数 863 阅读 82

Work_8th chapter 3 NO 3.31

St: Wenya Wu 201530102016 WHU

3.31 Study the behavior for other types of tables. One interesting possibility is a square table with a circular interior wall located either in the center, or slightly off center. Another possibility is an eelliptical table.


综述

  • 本题要求讨论不同边界下的“桌球模型”的运动情况;
  • 该模型在边界上的的速度变化公式为

    其中为入射速度,为出射速度。为边界法线。
  • 做出运动的相图

计算过程

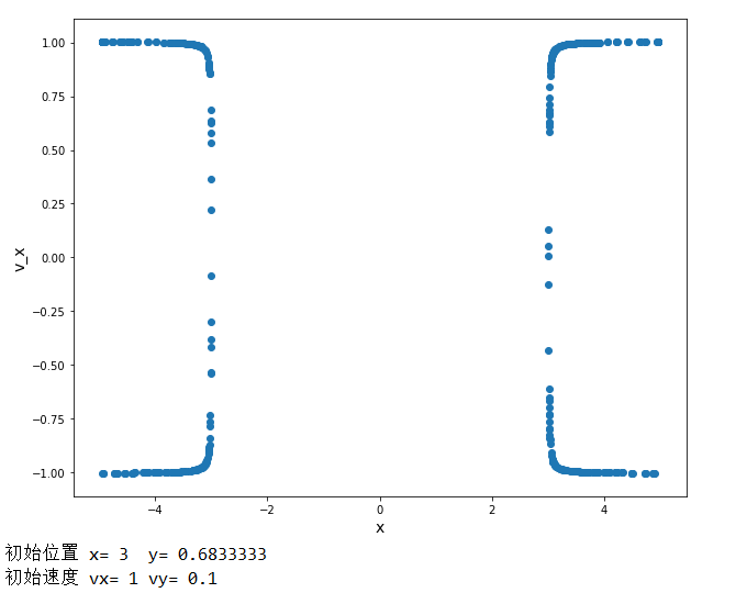
  • table 1:方形table,内部有一个圆形的代码运行步数均为100000步
    1. 当内部圆墙圆心在方形table的中心

      上图相应相图!


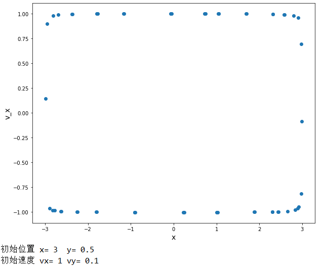
    2. 沿x方向略微改变圆心的位置,可以看到随着圆心位置的变化,在同样的初始条件下啊运动轨迹明显变了

      相图


      相图
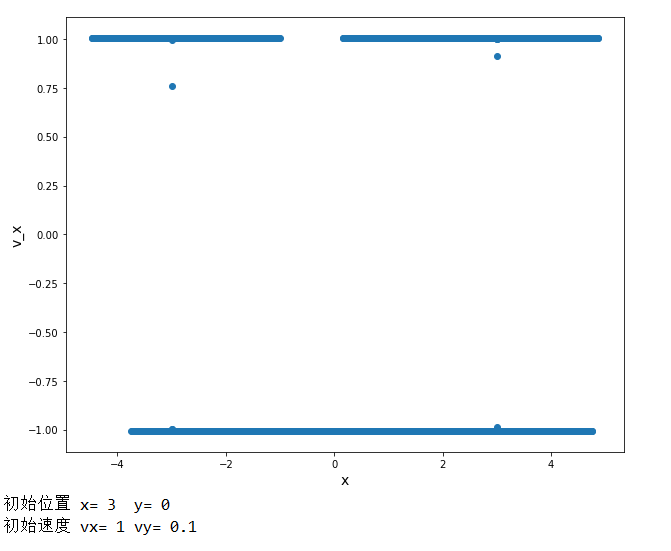
    3. 沿y方向改变圆心位置,同样变化明显
  • table 2:椭圆形table代码
    选择初始位置沿(即过右焦点的一条竖线)移动,发现随着出发点逐渐接近右焦点,图形形状有规律的变化(初始的速度不变)

    相图


    相图

    可以看出,上述两位置的轨迹呈现“互补”的形状,实际上,以左右为界限,在设定的初始速度下,图形轨迹总会有“互补”的情况出现。
    减少了步数)
    相图

    当出发点为原点时:


    出发点在焦点时(改了步数):

总结

本次作业研究了两种不同形状的table单个小球的运动轨迹问题,画出多种初始条件下的运动轨迹和相图,并找到了一些规律。

添加新批注
在作者公开此批注前,只有你和作者可见。
回复批注