@Homework-
2016-05-25T08:33:48.000000Z
字数 655
阅读 292
未分类
书上3.4
单摆是一种理想的物理模型,它由理想化的摆球和摆线组成.摆线由质量不计,不可伸缩的细线提供;摆球密度较大,而且球的半径比摆线的长度小得多,这样才可以将摆球看做质点,由摆线和摆球构成单摆.在偏角较小的条件下,单摆的周期:
从公式中可看出,单摆周期与振幅和摆球质量无关.从受力角度分析,单摆的回复力是重力沿圆弧切线方向并且指向平衡位置的分力,偏角越大,回复力越大,加速度(gsinθ )越大,在相等时间内走过的弧长也越大,所以周期与振幅、质量无关,只与摆长l和重力加速度g有关。

2.使用Euler-Cromer method(dt=0.5):
得到稳定振荡。
取
改变,分别取0.8,1.0,1.6,2.0,
周期与振荡幅度无关。
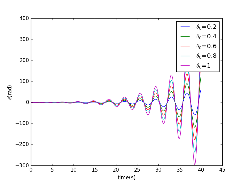
当取
取=0.1,0.2,0.5,0.6,0.8

显然图中可得振幅越小,周期越长
对于非线性()振荡,周期随振幅的增大而变小。
[1]N.J. Giordano,H. Nakanishi.Computational Physics(second edition)(影印版).清华大学出版社