[关闭]
@double-C 2016-06-19T16:26:41.000000Z 字数 2464 阅读 2273

第九次作业 非线性动力摆中的混沌现象

(chapter3 exercise3.12)
朱楚楚 材料物理 2013301510058
computationalphysics chapter3


摘要

混沌现象;物理单摆;

背景

非线性、阻尼、动力摆

  上次作业中我们分别讨论了存在空气摩擦、驱动力的单摆运动

和非线性大角度单摆运动
通过分析我们掌握了适合分析简单模型下单摆运动的数值方法,对是否存在外力、是否呈线性下单摆的运动等一系列物理问题有了一定了解。我们发现存在驱动力时在特定的驱动力频率下单摆可出现共振现象,而其他情况下单摆运动会逐渐停止;非线性大角度单摆运动与线性摆的运动类似呈现周期性。这次作业,我们将所有影响单摆运动的因素叠加到一起进行讨论,去除小角度近似、增加驱动力并考虑空气阻力的影响,此时单摆的运动方程扩展为:
  

  

这种非线性、阻尼、动力单摆称之为“物理单摆”,是最符合实际情况的单摆模型。
物理单摆情形十分复杂,蕴含的物理行为更加丰富,其解不能解析给出,在适当取值时,单摆模型还会呈现出混沌现象,但我们仍然可以用Euler-cromer方法类似地对其进行数值计算:

为了简单起见,将的取值范围限制在[-]内。

混沌现象

  混沌现象是指发生在确定性系统中的貌似随机的不规则运动。一个确定性理论描述的系统,其行为却表现为不确定性、不可重复、不可预测,这就是混沌现象。目前人们把混沌看成是一种无周期的有序。它包括如下特征:
(1)内在随机性。混沌系统是由完全确定的方程描述的,无需附加任何随机因数,但系统仍会表现出类似随机性的行为;
(2)分形性质。混沌过程中的奇异吸引子(lorenz吸引子、Henon吸引子)都具有分形的结构;
(3)标度不变性。在由分岔导致混沌的过程中,混沌遵从Feigenbaum常数系。
(4)敏感依赖性。只要初始条件稍有偏差或微小的扰动,则会使得系统的最终状态出现巨大的差异。因此混沌系统的长期演化行为是不可预测的。

本文论述

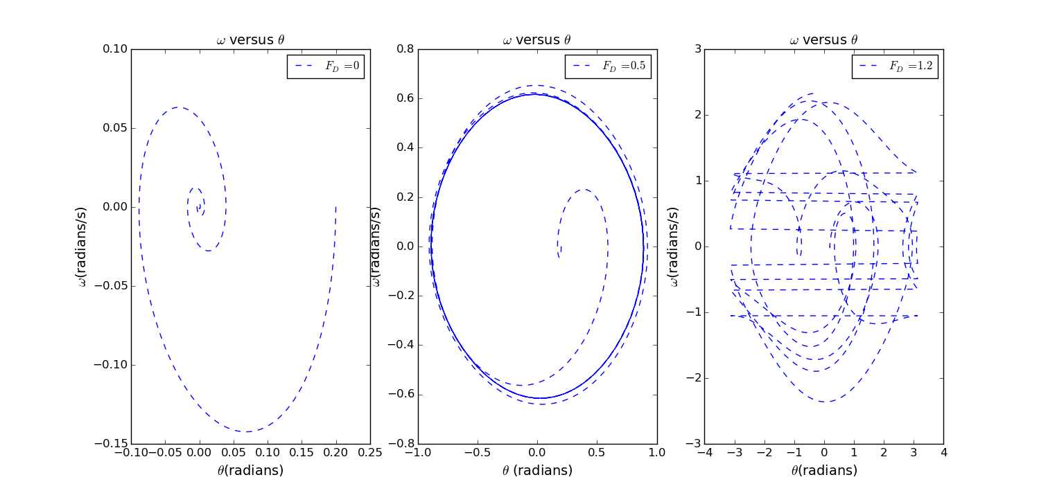
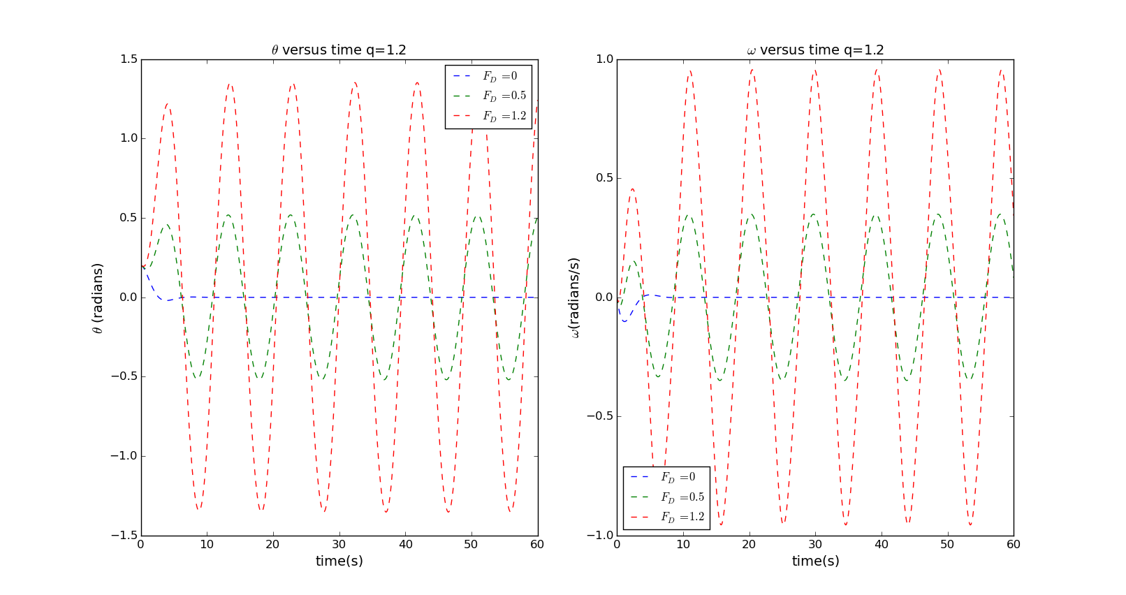
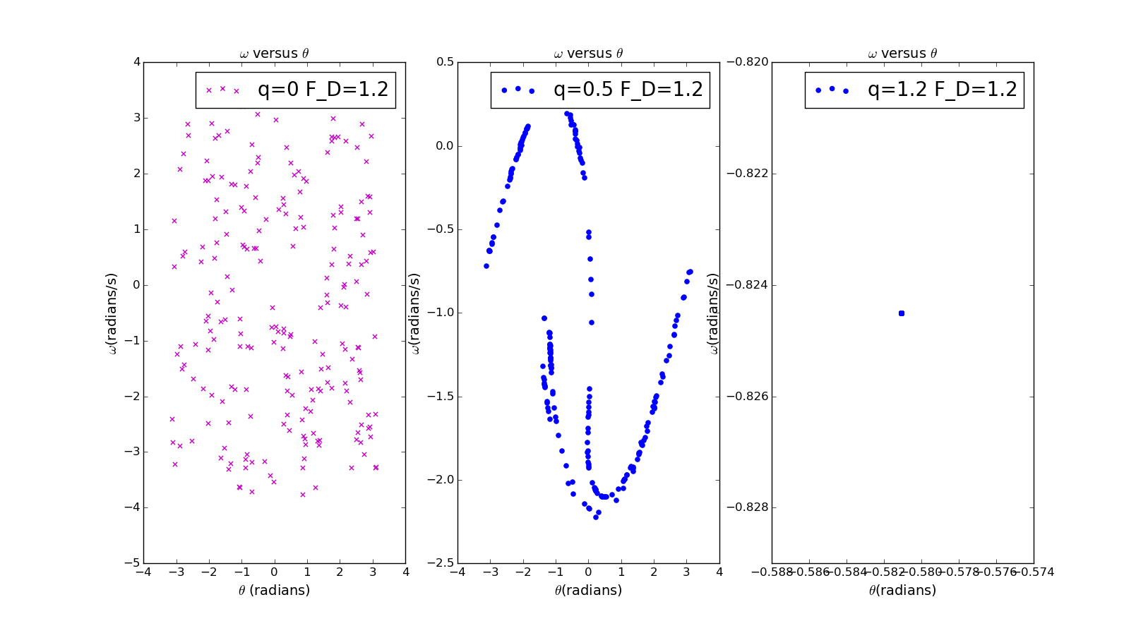
(1)驱动力大小、摩擦力系数不同时单摆的运动图像,出现混沌现象的单摆运图像;

正文


代码在此

结论

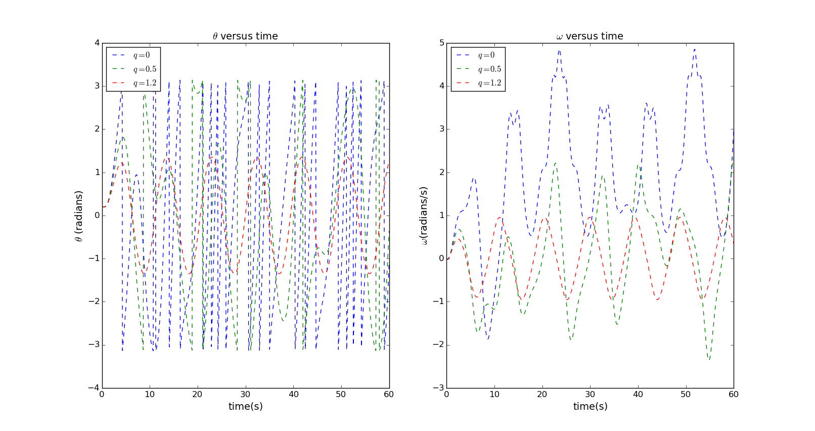
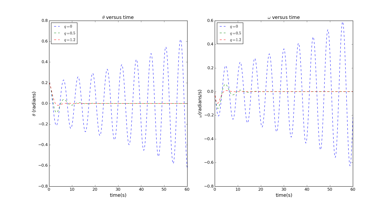
1.时单摆出现了共振现象;
2.时单摆为阻尼运动,经过一段时间后运动就停止了;
3.当都不太大的时候,单摆经过一段时间的不稳定后做简谐运动,当增大或减小单摆运动的周期性消失,出现混沌现象。因此对混沌现象的出现影响是相反的;
4.在相空间示意图中,图像相同,与图像翻转了图像翻转了

致谢

代码主要参考了刘星辰大神的作业,非常感谢。

添加新批注
在作者公开此批注前,只有你和作者可见。
回复批注