@caosl1992
2017-04-07T03:38:44.000000Z
字数 1025
阅读 268
搜索排序
搜索知识
B端用户的推荐算法
1. 数据分析
淘宝推荐算法
推荐算法体系
https://zhuanlan.zhihu.com/p/24202220
基本用户投票的算法
1. Delicious
- 基本思想:根据过去60分钟内被收藏的次数进行排名,每1h更新一次
- 优点:比较简单、容易部署、内容更新相当快
- 缺点:排名变化不够平缓,缺乏自动淘汰旧项目的机制
2. Hacker News
- 基本思想:根据票数、时间、重力因子G来调整排名,P⁄〖(T+2)〗^G
- 优点:可以决定内容更新的速度
- 缺点:暂未考虑
3. Reddit
- 基本思想:帖子的新旧程度T、赞成票与反对票的差值x、投票方向Y、帖子的受肯定程度Z,具体公式见下图

- 优点:可以淘汰旧内容,并保证有大量净赞成票的帖子排到前面
- 缺点:有争议性的帖子,一般受欢迎的帖子会排在后面,受时间的权重因素影响很大
- 反应:决定了Reddit是一个符合大众口味的社区,不是一个很激进、可以展示少数派想法的地方
4. 牛顿冷却定律
- 基本思想:用自然温度的冷却模拟帖子热度的冷却,具体公式见下图

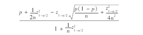
5. 威尔逊区间——Reddit的评论排名
6. 贝叶斯平均-imdb的评论排名
- 基本思想:既然不知道投票结果,那就先估计一个值,然后不断用新的信息修正,使得它越来越接近正确的值。
- 具体公式:

- WR, 加权得分(weighted rating)。
- R,该电影的用户投票的平均得分(Rating)。
- v,该电影的投票人数(votes)。
- m,排名前250名的电影的最低投票数(现在为3000)。
- C, 所有电影的平均得分(现在为6.9)。
- 优点:给冷门项目或者新项目一个相对公正的排名