@Bruce1Tone
2021-10-22T09:31:46.000000Z
字数 32828
阅读 1799
高等数学
微积分 线性代数 概率论
参考资料:
常用集合:
N:自然数
Z:整数
Q:有理数
R:实数
交集、并集、差集、补集
差集:记做
A\B或者A-B
补集/余集:假设给定的全集为I,且,则I-A是A在I中的补集,记做
直积:
假设有集合A、B,有,则称A×B为A和B的直积
开区间与闭区间
开区间如:
闭区间如:
半开区间:
邻域
以x为中心,为半径的
开区间称为点的邻域,记做
不说明半径时,简记为
将其邻域去掉中心点,记做,称作点的去心邻域
定义1:
X、Y为两非空集合,如果按照某法则f,对于集合X中的任一元素x,在集合Y中都有唯一元素y与之对应,则称f为从集合X到集合Y的映射,记作
其中,元素y称为元素x在映射f下的像,元素x称为元素x在映射f下的原像/逆像
X称为映射f的定义域,记作
Y称为映射f的值域,记作或者
要点:
一个x只能有一个y,一个y能有多个x
满射
定义:所有Y在X都能找到原像的映射f就叫满射
单射
定义:每个Y在X中有唯一的原像的映射f就叫单射
定义2:
如果从集合X到集合Y的映射f,既是满射又是单射,则称f是从X到Y的一一映射
教材p9
定义5:
设X和Y为两个非空实数集,f为X到Y的一个映射,则称f为定义在数集X上的函数,记做
其中x为自变量,y为因变量,X为f的定义域,记为
显函数与隐函数
定义:
显函数:能够由y = f(x)定义的函数
隐函数:能够由F(x,y) = 0定义的函数
(f±g)x = f(x)±g(x),定义域为
定义:
奇函数:关于原点对称
偶函数:关于y轴对称
注意!定义域也需要对称才行
存在常数T≠0,使得f(x+T)=f(x)
注意!并非所有周期函数都一定存在最小正周期,例如:
狄利克雷函数:
定义11:
设函数,若,使,都有|f(x)|≤M,则称f(x)在X上有界,否则称为在X上无界
充要条件:f(x)在X上既有上界也有下界
其中,反三角函数的图像即将三角函数的图像旋转90°即可
由基本初等函数通过有限次的四则运算和复合运算得到的,且能用一个解析式表示的函数
教材p26
双曲正弦函数:

双曲余弦函数:
双曲正切函数:

双曲函数的性质:
假设有双曲线:
定义:
按照某一法则依次排列的无穷多个数,称为一个无穷数列,简称数列
数列也是函数,称为整标函数,定义域是
有界数列:
对于数列,若,使均有,则称之为有界数列,否则为无界数列
定义1:
设有数列及常数A,若对于任意给定的,总存在正整数N使得对n>N的任何n,以下不等式都成立:
则称当时,的极限为A,或称之收敛于A
记做
如果极限不存在,则称数列是收敛的
该定义的几何意义是:
在第N项之后,数列的每一项都落在区间,且足够小

定义4:
若,使得当时,有,则称A为当x趋于无穷大时f(x)的极限,记为:
简单解释:
的充要条件是:
定义5:
设f(X)在的某去中心邻域内有定义,A为常数。
如果对于任意给定的正数,总存在正数,使得对满足的一切x,都有 成立,则称A为函数f(X)当时的极限,记作:
该定义的几何意义是:
![]()
所有的函数值都落在黄色区域
定理1:
极限存在的充要条件是:左极限和右极限均存在且相等
定理2:
设f(X)在的某个去心邻域内有定义,则的充要条件是:
对任何以为极限,且含于此去心邻域的数列都有
引申定理:
数列存在的充要条件是:
其任何子数列的极限存在且相等,即:
定义:
若,当时,有:
则称f(X)当时的无穷小量(无穷小),记作:
定义:
若,当时,有:
则称f(X)当时为无穷大量,记作:
定理2:
若,则:
定理3:
若,且f(x)在的某去心邻域内有界,则:
该定理说明:无穷小与有界变量之积为无穷小
推论:
有限个无穷小的积、无穷小与常数的乘积,都是0
注意!必须当自变量变化趋向相同才能运算
定理4:
的充要条件是:,其中A为常数,
简单解释:
函数的极限等于某个常数的充要条件是:函数等于该常数与某个无穷小之和
极限的性质:
定理1:
若在的某个空心领域内,有g(x)≤f(x)≤h(x),且,则存在且等于A
由此可证重要极限:
定理2:
若数列为单增,且能找到一个数,使得所有数都不超过他,则极限存在
若数列为单减,且能找到一个数,使得所有数都不小于他,则极限存在
由此可证重要极限:
定义1:
有
- 如果,则称当时,是的高阶无穷小,记作:
- 如果,则称当时,与是同阶无穷小
- 特别地,如果,则称当时,与是等价无穷小
常用的等价无穷小:
当时:
~x组:
其他组:
- :
- :
- :
- :
- :
定义:
设在有定义,若,则函数在点点处连续
用逻辑语言描述:
设,当时,有:
则称函数 在点处连续
在处连续的充要条件是:函数在处左连续且右连续
定义4:
若在开区间(a,b)内每一点都连续,则称在开区间(a,b)连续,记为:
同理有:
跳跃型间断点定义:
函数f(x)在断点的左右极限都存在,但不相等
可去型间断点定义:
函数f(x)在断点的左右极限都存在且相等,且在该点有极限值,但极限值≠函数值
可以通过修改在该点的定义,使函数连续

定义:
凡是不属于第一类的,都是第二类间断点。
特征是:左右极限至少有一个不存在
无穷型间断点:
左右极限中至少有一个是无穷大(正负无穷大)
震荡型间断点:
左右极限中至少有一个不存在,且在附近,曲线呈无穷次振荡
例如在,就是振荡型间断点
定理4:
设在[a,b]上单调连续,,则反函数在上单调连续,且有相同的单调性
即:反函数单调性和原函数一样
定理7&8:
基本初等函数、初等函数在其定义域内是连续的
最大值和最小值定理:
若,则必在[a,b]上取得最大值和最小值
即:,使得换句话说:
函数在一段连续闭区间内,必然有最大值和最小值
有界性定理:
若,则在[a,b]上有界
即换句话说:
连续函数在闭区间内必定有界
介值定理:
若且,则,都,使得
换句话说:
连续函数的闭区间内,必定能找到一点函数值在两端点函数值间的点(如下图)
介值定理引申的推论:
推论2(根的存在定理):
若。且,则
特殊地,当函数为单调函数时,根是唯一的。
导数:
前提:设定义在区间
I,其中点和都,(其中可正可负)。
函数增量
可导:存在,即称函数在点处可导
记作:
单侧导数:
当,则单侧导数为
右导数,记为:
同理,左导数记为:
可导的充要条件:
函数在点的左导数和右导数均存在且相等
几何意义:
函数在点处的导数值,就是曲线在点处的切线斜率k
切线方程:
法线方程:
高阶导数:
其中,且为整数,且在的某邻域内有定义,也在该邻域内
微分定义:
设函数在点的某邻域内有定义,则在该邻域内,对于有:
若存在与无关的常数A,使得:
便称在处可微。
其中,是在时比更高阶的无穷小
记作:
又因为,所以也记作:
本质:就是要判断是不是高阶无穷小,即是不是可忽略的
判别方法:
- 写出增量:
- 写出线性增量:
- 求两增量的误差:
如果该极限等于0,则可微,否则不可微

计算方法:
设在点x处可导,在点处可导,则:
性质:
设可导,且,则存在反函数,则有:
适用于乘积的高阶导数:
极值定义:
广义的极值:
的某邻域内任一x都有:
则称为广义的极大值真正的极值:
的某去心邻域内任一不同于的点x都有:
则称为真正的极大值
最值定义:
广义的最值:
在函数的定义域内任一点x,都有:
则称为广义的最大值真正的最值:
在函数的定义域内,对于任一不同于的点x,都有:
则称为真正的最大值
充分条件1:
极小值:若
左-右+
极大值:若左+右-
不是极值点:左右同号
充分条件2:
当在处二阶可导,且,:
若,则取得极大值
若,则取得极小值
凹弧:
满足的(向下弯曲)。即
凸弧:
满足的(向上弯曲),即
拐点:
凸弧与凹弧的分界线
左右两边异号
驻点:
函数的一阶导数为0的点
注意:驻点不一定是极值点
水平渐近线
铅垂渐近线
斜渐近线:
若,且
则是曲线的一条斜渐近线
也可以是
讨论渐近线的时候三种都要讨论
对于函数在上连续:
有界与最值定理:,其中,m,M分别为在上的
最小值与最大值
介值定理:当时,存在,使得
平均值定理:当时,在内至少存在一点,使
零点定理:当时,存在,使得
设满足在点处
可导且取得极值,则
证明方法:假设取得极大值,因为和异号,又要相等,所以只能等于0
连续函数两点相等,中间必有导数为0的点
设在上连续,在上可导,且,则存在使得
连续函数任取两点,区间内必有某点的导数平行于两点连线
设在上连续,在上可导,则存在使得
或者写成
两个连续函数,必定能找到一个x,使得在该x下两函数的差之比等于导数之比
设在上连续,且在上可导,且,则存在使得
辨析:

带拉格朗日余项的:
一般用于证明题
设在点的某个邻域内n+1阶导数存在,则对该邻域内的任意点x有:
带佩亚诺余项的:
一般用于计算题
设在点处n阶可导,则存在的一个邻域,对于该邻域内的任一点有:
其中,佩亚诺余项是误差,是的高阶无穷小
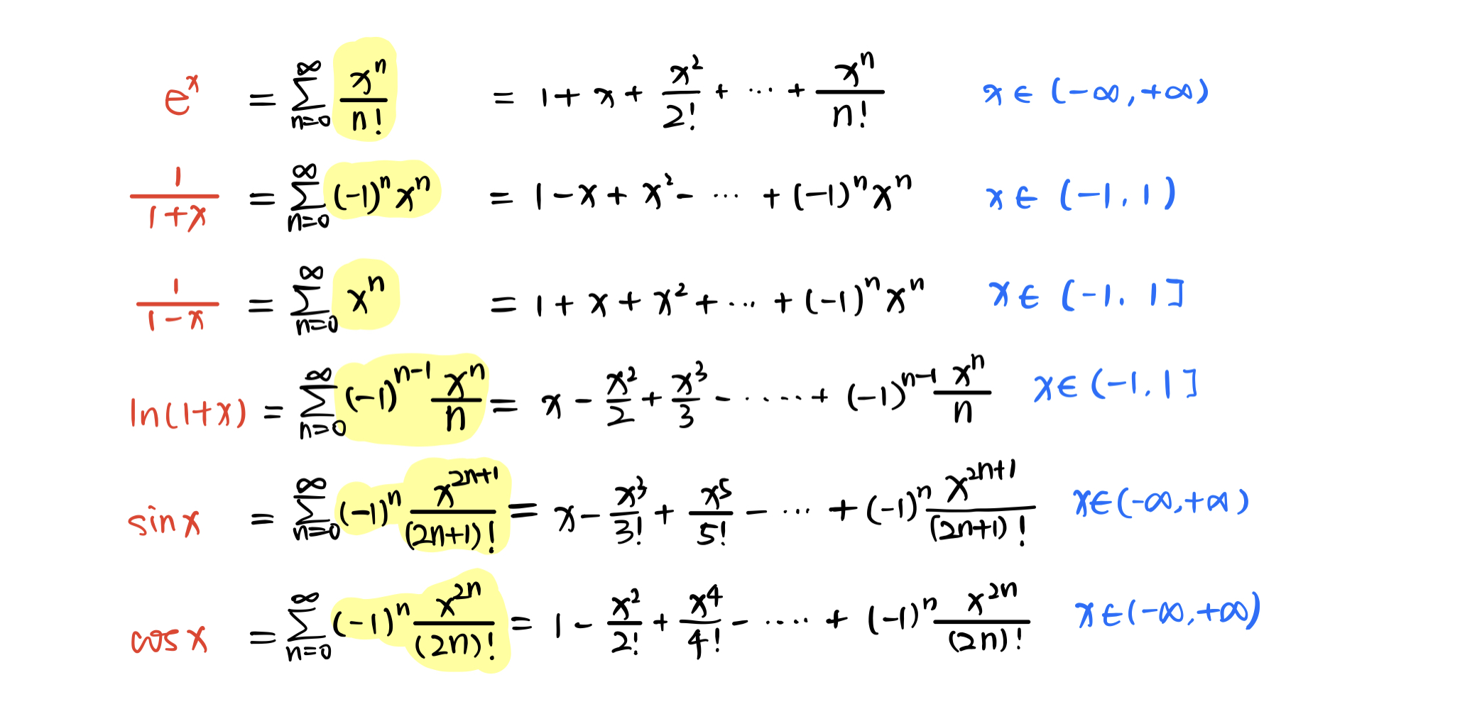
麦克劳林公式:
当时,泰勒公式称为麦克劳林公式:
以下为一些常见的:
| 原函数 | 麦克劳林展开式 |
|---|---|
原函数定义:
设函数定义在某区间上,若存在可导函数,对于该区间上任意一点都有
则称是在区间上的一个原函数
不定积分定义:
同上条件,称
为在区间上的不定积分,其中C为任意常数
即定义域内所有的积分
精确定义:
特殊情况是,当a=0,b=1时:
也称为一元函数的可积性(常义上的:区间有限、函数有界,即黎曼可积性)
估值定理:
设M,m分别是在上的最大值和最小值,L为区间的长度,则有:
中值定理:
设在闭区间上连续,则在上至少存在一点,使得:
当x在上变动时,对应于每一个x值,积分 就有一个确定的值,因此 是一个变上限的函数,记作:
称函数为变上限的定积分,该类定积分统称为变限积分
有变限积分,在上连续
可导函数和的值域在,则在函数和的公共定义域上,有:
注意!
变限积分的两个变量:求导变量x和积分变量t
求导变量x只能出现在积分上下限,积分变量t只能出现在被积函数
如果交叉出现,则需要用恒等变换将其变成标准形式
由于定积分要求:区间有限、函数有界
则对应两种反常积分:
- 无穷区间的反常积分:
即破坏了区间的有限性的积分- 无界函数的反常积分:
即破坏了函数的有界性的积分
反常积分的定义为:
若上述极限存在,则称该反常积分收敛,否则称为发散
同理有上的收敛与发散的定义
奇点:在反常积分中,一般把和使得函数无定义的点(瑕点)统称为奇点
定义:
若b是的唯一奇点,则无界函数的反常积分的定义为:
若上述极限存在,则称该反常积分收敛,否则称为发散
基本思想:
即时,
常见的几种换元
基本思想
二元函数极限有两种定义:
按集合论来定义:
定义1:
只要是有定义的,且满足,则
按邻域来定义:
定义2:
若二元函数在的去心邻域内有定义,且以任意方式趋向于时,均趋向于A,则
定义:
如果,则称在点处连续
定义:
设函数在点处的某邻域内有定义,若极限
存在,则称此极限为函数在点处对x的偏导数,记作:
或者
高阶偏导数
如果函数在区域D内的偏导数仍具有偏导数,则他们的偏导数称为函数的二阶偏导数,四种分别记作:
其中,和称为二阶混合偏导数
可微的判断:
- 写出全增量
- 写出线性增量,其中
- 作极限
若该极限等于0,则z在该点可微,否则不可微全增量,其中
全微分
全微分:
设,且,则:
而求他们的偏导数时,如果中间变量为复合函数:
设,且,则:
例题:设,其中有二阶连续偏导数,求
先求出
然后得到
其中,
而
设有隐函数,则其求导公式为:
对于多元隐函数:
设有隐函数,且,则:
解题过程

条件极值与拉格朗日乘数法:

如果同时满足的条件不止一个,例如:
设函数,同时满足条件
则:拉格朗日函数:
如果是在由n个条件组成的边界上,
设函数,则有:
且定积分为:
设M,m分别是在有界闭区域D上的最大值和最小值,A为D的面积,则:
设函数在有界闭区域D上连续,A为D的面积,则在D上至少存在一点,使得:
直角坐标积分转化为极坐标积分:
解常微分方程的基本思路是:
分离变量化成标准形式:
- 两边同时求积分,得到:
其中,C为常数,一定不要忽略
例如: 的方程
通解的公式为:
形如: 的方程
解法为:
1. 两边同时除以,变形为:
2. 令换元,得到分离变量后关于z和x的一阶线性方程,然后利用上式的通解公式求解
形如: 的方程:
- 先令,则有
- 按p和x分离变量,求出p和x的关系式
- 代入,求出x和y的关系式,得到方程通解
形如: 的方程:
- 先令,则有
形如: 的方程,他的特特征方程是:
其中,有
1. 如果,则特征方程有两个不相等的实根,即,通解为:
2. 如果,则特征方程有两个相等的实根,即,通解为:
3. 如果,则特征方程有一对共轭复根,设为,通解为:
形如: 的方程,解法如下:
- 当自由项 时,特解要设为:
- 确定特解中的各个参数:
a. 若是x的n次式,则
b. 看a与两个特解是否相等:
有几个相等的,k就等于几(例如,,则)- 写出特解表达式,并代回原式,求出参数
- 求通解:
例如某通解为:
另外一种自由项时:
- 当自由项 时,特解要设为:
- 确定特解中的各个参数:
a. 若是m次式,是n次式,则,都是关于x的l次一般多项式
b. 看是否为特征根。- 写出特解表达式,并代回原式,求出参数
- 求通解:

但是注意!这个性质倒过来就不对!
即,级数也不一定收敛
绝对收敛:收敛,则称绝对收敛
条件收敛:收敛,但是发散,则称为条件收敛其中,如果收敛,则必定收敛
收敛原则
级数收敛的充分必要条件是:
它的部分和数列满足:有界
比较判别法
两个级数和,从某一项开始,则:
大的收敛,小的就收敛。
小的发散,大的就发散。
比较判别法(极限形式)
有两个级数和,且:
当A = 0,如果v收敛,u就收敛
当A = +∞,如果v发散,u就发散
当0< A < +∞,则u和v的敛散性相同
比值判别法
对于正项级数,如果,那么:
若,则收敛
若,则发散
根值判别法
对于正项级数,如果
若,则收敛
若,则发散
莱布尼兹判别法
对于交错调和级数,形如的级数,其中,即:
如果满足以下两个条件,则级数收敛:
- ,即单调减少
注意!该方法只是充分条件而非必要条件
该类问题的解决方法是:
- 对于,加绝对值变成,成为
正项级数- 用正向级数的
比值判别法或者根值判别法,即
或者
- 单独讨论收敛区间的两个端点处的级数敛散性
根据阿贝尔定理,已知在某点的敛散性,则:
- 若在处
收敛,则收敛半径- 若在处
发散,则收敛半径- 若在处
条件收敛,则
如果已知的敛散性,要求讨论的敛散性,其转化有如下性质:
- 乘以,收敛半径不变
- 对级数逐项求导,收敛半径不变,收敛域可能缩小
- 对级数逐项积分,收敛半径不变,收敛域可能扩大
- 对x进行平移,收敛半径不变
其中,求n阶导的时候,级数的下标会加n:
求积分的时候有:
对于级数:
如果存在,则记为
则收敛半径为
常见的和函数展开:

对于级数:
发散
虽然,但是
发散,则原级数发散
对于级数:
发散
因为有x > 0的时候,,所以。则有:
对于级数:
收敛
因为:
对于级数:
当时,发散
当时,收敛

对于在区间:
对于在区间:
对于正弦级数,需要对f(x)做奇延拓:
若只在上给出
奇延拓:相当于把函数扩充成奇函数
即构造在上
对于余弦级数,需要对f(x)做偶延拓:
偶延拓:相当于把函数扩充成偶函数
即构造在上
形心的坐标是:
形如的微分方程称为欧拉方程,固定解法为:
- 如果,则设
所以有 ,
所以替换得到
然后正常解微分方程即可- 如果
设,之后同理
对于直线,任意一点的曲率为:
其中,为旋转角的弧度值,为弧长
曲率半径R为:
假设有空间曲面:
则其面积S就等于:
即:


假设有点M,某直线的方向向量为
- 找直线上的任意一点,求出
- 则点到直线距离d为:
基本思想:
轴线L上任取一点,曲线上任取一点,轴线的方向向量是
设旋转体上任意一点坐标为,则有:
- 列出方程组,解出P的坐标
假设曲线绕z轴旋转,求曲线旋转体的解析式:
- 根据条件消掉z(即用z表示x和y):
- 求出,将之代回原式得到旋转体的解析式
定义:
假设三元函数,某方向向量为
则点的:该方向上的方向导数:
其中分别是三个坐标轴与的夹角
即而该函数在该点的梯度或:
梯度即为最大的方向导数,即
在该方向上方向导数值最大,在其反方向上方向导数最小
有三重积分,则柱坐标变换为:
则有
有三重积分,则柱坐标变换为:
则有

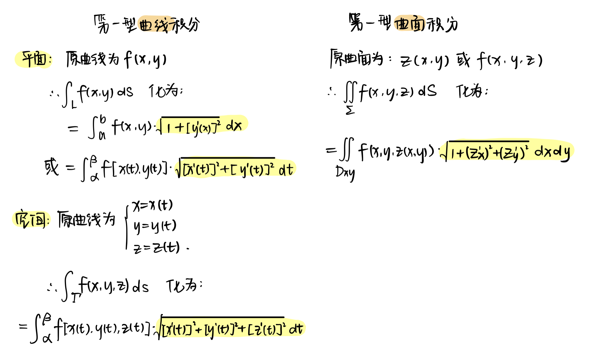
平面曲线:

总结:
1. 参数法:一段平面曲线
2. 格林公式: 一段闭合曲线
空间曲线:

总结:
1. 仅对闭合曲线,用斯托克斯公式
2. 转成第一型曲面积分或者第二型曲面积分
3. 对于第二型曲面积分,用投影法计算

总结:
1. 对于普通曲面,将之投影至xoy面计算
2. 对于空间闭合曲面,用高斯公式计算

行列式都是的方阵
二阶行列式:
物理意义是:
由和为两边的平行四边形的面积
同理,三阶行列式:
的物理意义是:
由为三个邻边的平行六面体的体积
原行列式去掉所在的第i行和第j列元素后剩下的矩阵
注意:有正负号,符号为
主对角行列式
就等于
对角线乘积
副对角行列式
就等于
副对角线乘积再乘以正负号
拉普拉斯展开式
其中,和是两个行列式:
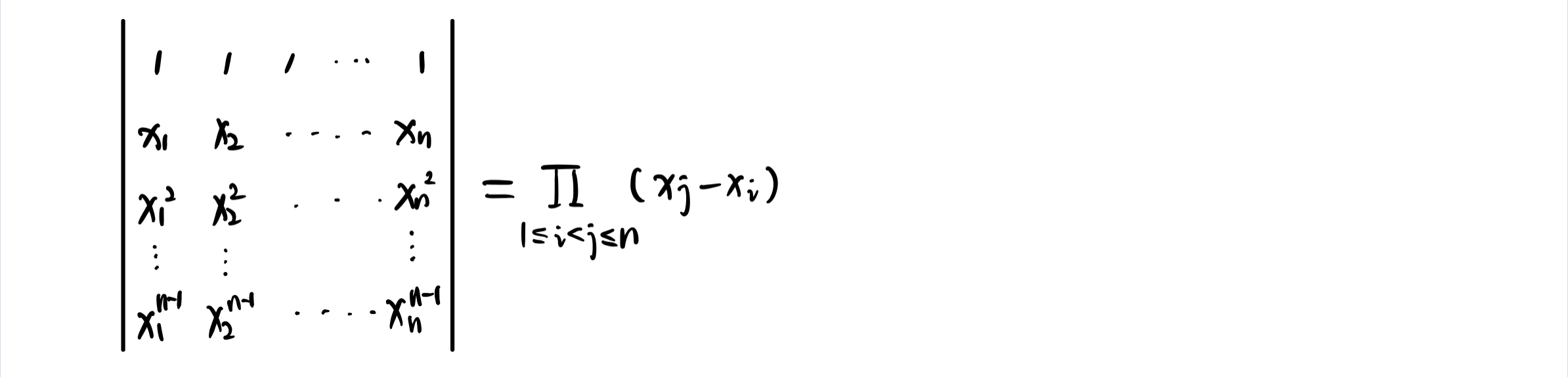
范德蒙德行列式
即列方向的等比数列

其中,方程的解为
当时,方程有唯一解
当时,方程有一系列解
当时,方程有唯一零解
当时,方程有非零解
秩:本质上就是矩阵中线性无关的向量个数
同型矩阵:两个矩阵的行数列数相等
数乘:
即:每个元素都要乘以k
注意:
1.
变换矩阵为,则有:
为对A的行变换
为对A的列变换
注意:
1. 矩阵乘法不满足交换律,即
2. 不能得出或
3. 不能推出和
矩阵乘法的行列式:
注意:有常数项时,计算要注意
例如,为n阶方阵,则:
有如下规律:
其中,转置和求逆可以交换:
对应向量点乘:

时,这两个向量称为正交向量
记作

- 零矩阵
- 单位矩阵/,对角线为1其余全为0
- 数量矩阵:k倍单位矩阵
- 对角矩阵:除主对角以外,其他全为0的矩阵
- 对称矩阵:
- 反对称矩阵:(主对角线全部为0)
- 正交矩阵:方阵,即,即由一组标准正交向量组构成
注意,在证明时,有以下方法:
1. 证明
2. 证明
千万不能直接证明
对于矩阵,若,则是的逆矩阵,记作
矩阵可逆的充要条件:

要点:
逆矩阵的求法:
还有
运算规律
假设为n阶矩阵:
| 备注 | ||
|---|---|---|
| 和都不为0 | ||
| 1 | ,但是至少有一行/列的代数余子式不等于0 | |
| 0 | 所有元素都为0 |
| 条件 | 结论 | 备注 |
|---|---|---|
| 则 | 其中n为AB的长\宽 | |
| - | ||
| 则 | ||
| 则 |
都是的矩阵,且存在可逆矩阵使得:
则条件:AB同型,且
同上,需要满足
则AB相似,记为
若线性无关,则:
由组成的齐次线性方程组有唯一零解,即:

对于n阶矩阵,的通解:
- 如果通解中有m个无关向量,则
对于
特征值和特征向量,满足以下关系:
且有:
![]()
可以相似对角化的充要条件:矩阵有n个线性无关的特征向量
充分条件:
矩阵有n个不同的特征值
假设有三阶矩阵A和B,则:
对于的所有特征值,都有:
- 特征值之和=A的对角元素之和=
- 特征值之积=|A|
- A的每行元素之和都为x,则其中一个特征值
对于的所有特征向量,都有:
- 如果的特征值,则
线性无关- 如果,则依然是特征值为的特征向量
- 如果,且特征值、特征向量都不为0,则不是A的特征向量
若对于三阶矩阵,他的特征值有:
则:
- 逆矩阵:特征值分别为:
- 伴随矩阵:因为有,所以特征值分别为:
或者:
对于三阶矩阵,他的特征值有
若有,则:
- 的特征值分别为:
例:对于4阶实对称矩阵满足:
- 特征方程为
- 矩阵的
特征值一定满足特征方程,但是特征方程的解不一定就是A的特征值- 以上特征方程解出来,则
a. A的特征值一定在以上三个中,且可以重复取用- 的所有特征值之积
- 的所有特征值之和
对于矩阵,有可以化为标准型
则:
若A和B合同,则:
即:A和B两个矩阵对应的二次型是可以相互转化的判断条件:
A和B的正负惯性指数相等
所谓负惯性指数,就是A的标准型有多少个负号

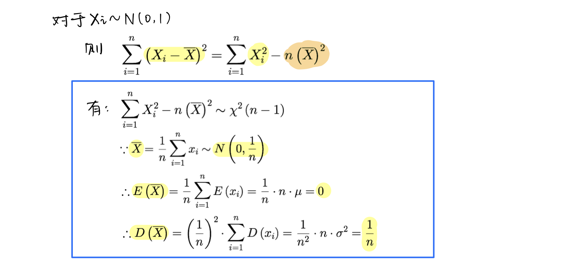
其中,泊松分布的
其中:
上面式子中的为XY的相关系数:
充要条件:
则X和Y相互独立
其中边缘分布:
也是同理
同理有:
即:条件概率密度 = 边缘概率密度

推广形式:

当XY独立时才能使用:
图注:最后一个应该是"卡方分布",笔误
X是离散分布,Y是连续分布,求Z=X+Y分布,则:
用全概率公式,即:
将代入,进一步化为:
连续型:
如果积分绝对收敛,则期望存在
否则积分不存在
且有:
例如:对于任意X,Y,无论独立不独立,均有:
连续型:


对于标准正态分布,有:
- ,
- ,因为
表示的均值
独立 > 不相关
不相关:不一定独立,只是没有线性关系,即
独立:一定不相关,即
切比雪夫不等式:
对所有的:
| 分布 | 符号 | 分布函数\概率密度 | 期望E | 方差D | 备注 |
|---|---|---|---|---|---|
| 0-1分布 | 0-1 | p | k=0或1 | ||
| 二项分布 | np | k等于0,1,2... | |||
| 泊松分布 | 当n较大而p特别小时 | ||||
| 几何分布 | 做了k次才成功,平均要做次 | ||||
| 超几何分布 | 总N个,有M个次品,取k个不放回 | ||||
| 正态分布 | 、 | ||||
| 均匀分布 | |||||
| 指数分布 | |||||
| 卡方分布 | n | 2n | n个标准正太分布的平方和的分布 |
大数定律:大样本的均值会收敛于真实值,但怎么分布的不知道
中心极限定理:超大样本的分布会趋近于正态分布,且n越大方差越小
记法:
如果或者
则有:
或者
对比表格:
| 名字 | 条件 | 结论 | 备注 |
|---|---|---|---|
| 切比雪夫 | 相互独立,方差存在且有上界 | 总体的均值=各个随机变量均值的和 | |
| 伯努利 | n重伯努利试验,每次概率为p,A事件发生次数为 | 即用频率代替概率 | |
| 辛钦 | 独立、同分布、期望存在且都等于 | 总体的均值=同一个分布的均值 |
其中,由
切比雪夫可以推出辛钦
独立同分布中心极限定理(列维-林德伯格定理):
即:当随机变量序列为“独立、同分布、期望和方差都存在”时,整体分布趋于正态分布
二项分布中心极限定理(棣莫弗-拉普拉斯定理):
假设随机变量,则对任意实数x有:
即:当变量为二项分布时,一定有期望,所以根据上条定理,该变量服从正态分布




例如:

当x→0时:
以下都等价于x
以下为特殊:
| 原式 | 等价无穷小 |
|---|---|
夹逼法:
其他特殊极限:

目标:分母越简单越好
- 洛必达法则
- 见到根号差,就用有理化
- 上下同时除以相同的数
- 有理化
目标:化成以上两类
- 等价无穷小代换
目标:将加减法转化为乘除法,就可以用等价无穷小代换
- 通分——变成除法
- 提取公因式——变成乘法
两个恒等变换:
和
方法二:
若,,且满足:
则
| 原函数 | 一阶导数 | 备注 |
|---|---|---|
| 正割 | ||
| 余割 | ||
| 即 | ||
| 即 |
定义:
左右同时对x求导:
若函数由确定,要求或者:
左右同时对x求导
注意:y其实是y(x),所以,y也要求导数
若函数由参数方程确定,则:
有函数和他的反函数,则有:
换元法步骤:
要求
1. 令,则
2. 两边同时求微分,得到
3. 将上式代入原式当中,继续计算注意!换元也要换定义域!!
分部积分法步骤:
要求
1. 先凑微分成:
2. 将上式换元得到:
3. 分部积分公式:常见于带有
sin x、cos x、1/x等形式,重点在于找出一个项的导数、以及所有一项难求的积分
请确定义是:
当题目出现求证积分不等式时,一般考虑采用函数单调性或者积分中值定理证明,例如:
已知在连续且严格单调增加,求证:
解:
构造辅助函数
极限存在:
- 左、右极限都不为无穷大
- 左、右极限相等
即使该点无定义,也可能存在极限
函数连续:
- 左、右极限存在
- 左、右极限相等,且等于该点函数值
函数可导(导数存在):
该点左右导数都存在且相等
左右导数存在即两个极限存在:
函数在该点要连续
偏导数存在(同上):
用定义证明,即:
要证明z对x偏导数存在,则以下两个极限存在:
函数可微:
对于一元函数:
可微必然可导,可导必然可微
对于所有函数,需要用定义证明:即需要满足,(全增量-线性增量)是
距离的高阶无穷小,函数就可微二元函数在某点可微:
则需要满足
即在该点的两偏导数相等
对于在绝对收敛时:
- 收敛中心:
- 收敛半径:
收敛半径第二种求法
对于:
如果
那么收敛半径
积化和差:
和差化积:
二倍角公式:
万能公式:
- 竖直渐近线:
- 检查是否有
断点- 检查
断点是否为竖直渐近线- 水平渐近线:
- 求,若极限存在且等于
b- 则水平渐近线为
y=b- 斜渐近线:
- 求
- 若极限存在且等于
k- 求
- 若极限存在且等于
b- 则斜渐近线为
y=kx+b
- 函数每一步都为"型"或者"型"
- 在和均可用
- 每一步都要检查是否符合条件1,结果应该是或者